Kitosan Esaslı Antibakteriyel Poliüretan Malzemeler
Giriş
Enfeksiyon hastalıkları yüzyıllardır insanoğlunun en önemli sorunlarından biri olmuştur. Patojenik mikroorganizmaların meydana getirdiği bulaşıcı hastalıklar, halk sağlığında her geçen gün daha da sorunlu hale gelmektedir. Bulaşıcı hastalıklar genellikle bakteri, virüs veya diğer mikropların bir kişiden diğerine doğrudan aktarılması yoluyla yayılır. Kontamine
bir yüzeye dokunmak, enfekte olan kişinin öksürmesi veya hapşırması durumunda enfeksiyon yayılımı gerçekleşebilir.
Dirençli patojenler için hastaneler verimli üreme yerleridir. Bu bağlamda dirençli patojenler,
diğer patojen enfeksiyonlara göre tedavisi daha zor olan hastane enfeksiyonlarına neden olabilmektedir. Toplu taşıma, hastane, okul gibi alanlarda kullanılan genel malzemelerin antibakteriyel olarak elde edilmesi sayesinde mikroorganizmaların yayılımını yavaşlatmak ve önlemek mümkündür.
Günümüzde antibakteriyel malzemelere olan ilgi her geçen gün artmaktadır. Poliüretan sektöründe de aynı şekilde özellikle ayakkabı iç tabanlarında, günlük yaşantıda pek çok defa dokunduğumuz koltuk kolçağı, direksiyon simidi, vites topuzu gibi integral sistemlerde ve yüzey kaplama malzemelerinde antibakteriyel malzemelere karşı ilgi doğmuştur.
Yüksek biyouyumluluk, toksik olmama, biyolojik olarak bozunabilirlik, düşük alerjenite ve düşük sitotoksisite gibi özgün özellikleri nedeniyle kitosan esaslı malzemelerin kullanımı üzerine çalışmaların yapıldığı görülmektedir. Bu makale kapsamında kitosan esaslı katyonik polimerler sentezlendikten sonra poliüretan esaslı malzemelerde kullanılmıştır. (Şema 1) Malzemenin yüzey biyosidal etkinliği E.coli ve S.aureus bakterilerine karşı yapılmıştır.
[caption id="attachment_158316" align="aligncenter" width="696"]

Şema 1. Kitosan esaslı antibakteriyel poliüretan kaplama[/caption]
2. Doğal Polimerler ve Kitosan
Polimerler, çok çeşitli işlevleri, hafiflikleri, düşük maliyetleri ve kimyasal kararlılıkları nedeniyle yaygın olarak kullanılmaktadır. Plastik üretimi tüm dünyada yıllar geçtikçe sürekli artmakta ve çevre, biyolojik olarak parçalanamayan, petrol bazlı polimerik malzemeler önemli bir çevre problemi olarak karşımıza çıkmaktadır. Bu kapsamda geri dönüşüm teknolojileri, biyokaynaklı ve /veya biyobozunur hammadde kullanımı üzerine çalışmaların artığı görülmektedir.
Günlük hayatımızda kullandığımız polimerik malzemeler gıda ambalajı, yüzey kaplama maddesi, izolasyon malzemesi, tekstil ve sağlık endüstrileri gibi geniş bir kullanım alanına sahiptir ve her geçen gün kullanımı artmaktadır. Ancak bu malzemeler antibakteriyel değildir ve bakteri enfeksiyonunu önlemek için biyosidal özellik kazandırmak gerekmektedir.
Doğal polimerler, doğal monomerlerden sentetik polimerler, mikrobiyal fermantasyondan elde edilen polimerler ve bitkisel yağ bazlı polimerler gibi biyo bazlı polimerler, ham petrol kaynaklarına alternatif olarak son yıllarda popülerlik kazanmıştır.
Biyopolimerler, biyolojik kaynaklardan elde edilen ve doğada çözünebilen polimerlerdir. Doğal polimerlerden polisakkaritler dünyada en fazla olan doğal polimerlerdir.
Nişasta, selüloz ve kitin doğal olarak bol miktarda bulunan, biyolojik olarak parçalanabilen ve yenilenebilir doğal polimerlerdir. Selülozdan sonra en çok bulunan ikinci biyopolimer olan kitin karides, yengeç, böcek ve kaplumbağa gibi çeşitli canlı organizmalarda bulunmasının
yanı sıra mantarların hücre duvarında, omurgasızların iç yapılarında ve eklembacaklıların
dış iskeletinde de bulunmaktadır.
[1-3] Sentetik olarak kitinaz katalizli polimerizasyon yoluyla bir kitobiyoz oksazolin türevinin biyosentetik olmayan bir yolu ile de hazırlanabilmektedirler [4-6]. Yeryüzünde
selülozdan sonra en sık rastlanan polisakkarit kitindir. Kitin, N-asetilglukozamin (NAG) adı verilen monomerlerden oluşan bir doğal polimerdir. (Şekil 1) Polimer, birbirine bağlı NAG monomer zincirlerinden oluşur ve çeşitli derecelerde kristalleşmektedir.
[caption id="attachment_158317" align="aligncenter" width="696"]

Şekil 1. Kitin ve hidroliz edilmiş kitinin (kitosan) kimyasal yapısı[/caption]
Kitinin en önemli türevlerinden biri olan kitosan ise kitinin alkali ortamda kısmen ya da tamamen deasetilasyonu (organik bir bileşikten asetil fonksiyonel grubunun çıkarılması) ile elde edilen polikatyonik özellikte bir biyopolimerdir [7,8].
Mantar, kerevit, karides ve yengeçlerin dış iskeleti gibi kitin içeren birçok doğal kaynaktan bol miktarda elde edilebilen kitosan, organizmalar için toksik özellik içermemesi, biyolojik olarak kolay parçalanması ve biyouyumluk gibi özellikleri bulunmaktadır. [9,10] Bu nedenle kitosan başta gıda, medikal, eczacılık, kozmetik, ziraat, atık su arıtması ve tekstil gibi birçok endüstriyel alanda kullanılmaktadır [11].
Kitosan antiviral, antibakteriyel ve antifungal özelliğe sahip olmasının yanında, bitkilerin savunma sistemini de teşvik ederek hastalıkların kontrolü ve yayılmalarının
azaltılmasında da etkili bir ajandır. Bunun yanında bulunduğu ortamda (su, toprak vb.) metal iyonlarını şelatlaması ve bitkilerde toksik etkili metallerin emilimini engellemesi nedeniyle tarım alanında iyileştirmede de kullanılmaya başlanmıştır [12,13].
Özellikle antibakteriyel malzemelere olan ilgi her geçen gün artmaktadır. Ancak biyosit olarak kitosan uygulamaları yalnızca nötr ve bazik koşullarda çözünürlüğünün düşük olması nedeniyle asidik ortamda kullanılmaktadır.[14] Bu nedenle kitosan’ın çözünürlüğünü arttırmak için kimyasal modifikasyonlara ihtiyaç vardır.
Amine grupları üzerinde kuaternizasyon (katyonik yük yoğunluğunun ve hidrofobik özelliğin artırılması) biyosidal etkinliğini önemli ölçüde artırır. Kitosanın biyosidal etkinliğine etki eden başlıca faktörler [15]: (i) mikroorganizmayla ilgili mikrobiyal türler; (ii) kitosan’ın; pozitif yük yoğunluğu, molekül ağırlığı, konsantrasyonu, hidrofilik/hidrofobik yapı dengesi ve şelatlama kapasitesi; (iii) fiziksel durum, yani kitosanın suda çözünür ve katı hali; (iv) çevresel faktörler, ortamda iyonik kuvvet, pH, sıcaklık ve reaksiyon zamanı. Kitosan esaslı antimikrobiyal kaplamalar üzerine çok çeşitli çalışmalar bulunmaktadır.
Örneğin, polilaktik asit (PLA) filmlerin üzeri kitosan bazlı yüzeyler daldırma kaplama ile üretilmiştir [16]. Fonksiyonelleştirilmiş yüzeylerin antimikrobiyal aktivitesi, S. aureus ve P. Aeruginosa’na karşı incelenmiştir. Biyosidal aktivitenin %96 olduğu ve aktivitenin
kitosanın molekül ağırlığına bağlı olduğu görülmüştür. PLA ve kitosan ve gümüş nanopartikül içeren antimikrobiyal ve antiviral nanokompozitler termokimyasal bir yöntemle sentezlenmiştir. PLA-Ag-kitosan polimer nanokompozitleri özellikle S. aureus ve E. coli suşlarına karşı güçlü antimikrobiyal aktivite göstermiştir [17].
Ayrıca antiviral aktivite İnfluenza A virüsü, herpes simpleks virüsü tip 1 ve adenovirüs serotip 2’ye karşı gösterilmiştir. Poliüretan kaplama kapsamında modifiye edilmiş kitosan ve grafen oksit katılarak bir poliüretan nanokompozit film sentezlenmiştir [18].
Antibakteriyel etkinlik ve MTT (toksisite) analizleri sonucunda elde edilen nanokompozitinin iyi biyouyumluluk gösterdiği ve ayrıca S. aureus ve E. coli bakterisine karşı yüksek etkinlik göstermiştir. Bir diğer çalışmada ise domates üzerindeki kitosan kaplaması meyvenin bozulmasını başarılı bir şekilde geciktirmeyi başarmıştır; aynı zamanda kaplanmamış meyvelere göre meyvenin dokusunu ve sertliğini de korumuştur; sonuç itibarıyla oda sıcaklığında raf ömrünün uzatılmasına katkıda bulunmuştur [19].
Başka bir çalışmada ise trietanolamin (TEA) ve pentaeritritol (PE) ile transesterifiye edilmiş
hint yağı ve hint yağı bazlı ve %1 kitosan içeren poliüretanlar sentezlenmiştir. Kitosan esaslı poliüretan malzeme yüzeyinin bakterilerin yüzeye yapışmasını engellediği görülmüştür [20].
Poliolün transesterifikasyonu, mekanik özelliklerin değiştirilmesine yardımcı olarak onları biyouyumluluk ve hemo-uyumluluk gibi biyolojik özellikleri değiştirmeden kardiyovasküler uygulamalar için daha uygun hale getirmiştir. Hint yağı ve %1 kitosan eklenmesiyle sentezlenen poliüretanlar, hücrelerle temas ettiğinde sitotoksisite, hemoliz veya trombosit
yapışmasını desteklemez, bu da bu malzemeleri kardiyovasküler cihazlarda kullanım için çok uygun hale getirmiştir [20].
Ayrıca yapılan bir başka çalışmada midebağırsak geçişindeki aşırı kolesterol ve safra tuzlarını azaltacak yenilebilir ve güvenli biyosorbentlerin geliştirilmesi için polisakkarit bazlı biyosorbentler kullanılabilmektedir.
Mide-bağırsak geçişinden kolesterol ve safra tuzlarını adsorbe etmek için geliştirilen polisakkarit bazlı biyosorbentleri ve bu adsorbanlar için yaygın modifikasyon yöntemlerini analizi sonucu β-siklodekstrin, pektin, kitin/kitosan, diyet lifi ekstraktı ve selüloz dahil olmak üzere polisakkaritlerin, biyosorbent olarak mide bağırsak geçişinde kolesterol ve safra tuzlarını adsorbe etmesi için önerilmiştir [21].
Bu makale kapsamında doğal polimerler sınıfına gören kitosanın poliüretan köpük formülasyonunda kullanılması ve antibakteriyel etkisinin incelenmesi çalışılmıştır.
3. Yöntem
Proje çalışmamızda endüstride, sağlıkta ve tekstilde kullanılabilecek kitosan esaslı poliüretan malzeme geliştirilmesi amaçlanmıştır. Proje kapsamında 3 farklı metod ile düşük moleküler ağırlıklı, orta moleküler ağırlıklı ve yüksek moleküler ağırlıklı olmak üzere 3 farklı kitosan ile toplamda 9 farklı modifiye kitosandan oluşan biyopolimerler sentezlenmiştir.
Şekil 2’de 3 farklı metot sonucu oluşmuş modifiye biyopolimerler (ZK-1; ZK-2 ve ZK-PEG serileri) gösterilmiştir. Fonksiyonel kitosanlar, katyonik metil tuzları, katyonik dekan tuzları ve polietilen glikol (PEG) sübstitüye gruplarını içermektedir.
[caption id="attachment_158318" align="aligncenter" width="696"]

Şekil 2. Çalışma kapsamında sentezlenen kitosanlı moleküller[/caption]
3.1. ZK-1 Serisinin Sentezi
Bu çalışmada üç farklı moleküler ağırlıktaki her bir kitosan (ZK-1La, ZK-1Ma, ZK-1Ha) metillenmiştir ve kuterner kitosan polimerleri haline getirilmiştir.
ZK-1 Serisinin Sentezi Kapsamında Örnek Formülasyon Çalışması
1 gram kitosan içerisine 50 mL NMP ve 1.5 molar 15 mL NaOH çözeltisi bir cam balona koyulmuştur. 30 dakika 50°C’de N2 gazı altında yağ banyosunda refluks edilmiştir. 1.5 M NaOH hazırlanması için 1000 mL balon jojeye 60 gram NaOH ilave edilmiştir. Daha sonra 1.08 g sodyum iyodür ve 4.9 mL metil iyodür cam balona ilave edilmiştir.
N2 gazı altında 50°C’de yağ banyosunda 24 saat (1 gün) boyunca refluks edilmiştir. Reflukstan alınan turuncu renkli madde viskoz bir yapıda olduğundan ve gözenek boyutu uygun olmadığından Gooche erleniyle filtrasyonu yapılamamıştır. 500 mL behere 400 mL aseton damla damla eklenmiştir ve 15 dakika -18°C’de bekletilmiştir. Maddenin sarı çökelti oluşturduğu gözlenmiştir.
Daha sonra 100 mL aseton ve 100 mL THF le tekrar yıkandıktan sonra vakum fırınında kurutulmuştur. Her bir moleküler ağırlıklı kitosan için bu sentez uygulanmıştır. [22]
3.2. ZK-2 Serisinin Sentezi
Bu seri kitosanın izobutrilaldehit- metil kuaternizasyonudur. Bu çalışmada üç farklı moleküler ağırlıktaki her bir kitosan (ZK-2Hb, ZK-2Mb, ZK-2Lb) izobutrilaldehit ile reaksiyon sonucu oluşan polimerlerdir. ZK-2 serisinin sentezi kapsamında örnek formülasyon çalışması. Bir cam balon içerisine 1 gram kitosan içerisine, 0.6 mL isobütirilaldehit ve %1’lik asetik asit çözeltisi eklenmiştir. 1 saat boyunca N2 gazı altında pH:3 olana kadar balık yardımıyla manyetik karıştırıcıda karıştırıl mıştır.
Sonrasında pH:4.5 yapmak için maddenin içerisine karışırken 0.35 gram sodyum borohidrür eklenmiştir, bir buçuk saat N2 gazı altında karıştırılmıştır. Daha sonra pH:10 olana kadar balon içerisine hazırlanmış olan 1M NaOH çözeltisi yavaş yavaş ilave edilmiştir ve her bir pH sabitleme aşamasında sürekli olarak pH kontrolleri yapılmıştır. İstenilen özelliklere getirilen madde falkonlara ayrılmıştır. pH: 7 olana kadar distile su ile her bir falkon santrifüjlenmiştir.
Numuneler daha sonra liyofilizatöre konulmuş ve modifiye kitosan beyaz madde halinde kuru bir şekilde elde edilmiştir. Metil iyodür ile kuaternizasyon için 0.51 gram liyofilizatör sonrası elde edilen isobuturilaldehit fonksiyonel kitosan 25 mL NMP ve 7.5 mL hazırlanmış olan 1.5 M NaOH bir cam balona eklenmiştir.
30 dakika N2 gazı altında yağ banyosunda 60oC’de çözülmüştür. Ardından 0.54 gram sodyum iyodür, 2.5 mL metil iyodür, reaksiyon ortamına eklenmiş ve 24 saat boyunca N2 gazı altında yağ banyosunda reaksiyon devam etmiştir. Reaksiyon kabı oda sıcaklığına getirildikten sonra 400 mL asetona damla damla eklenmiş ve ardından -18°C’de bekletilmiştir. Krem renkteki ürün N2 gazı ile bir miktar kurutuldu ve daha sonra 3 saat boyunca vakum etüvünde kurutulduktan sonra madde +4°C’ye kaldırılmıştır. Her bir moleküler ağırlıklı kitosan için bu sentez uygulanmıştır. [22]
3.3. ZK-PEG Serisinin Sentezi
Bu seride ise kuaterner kitosan yapılarına PEG eklenmesidir. Bu çalışmada üç farklı moleküler ağırlıktaki her bir kuaterner kitosan (ZK-2HbPEGG, ZK-2MbPEGG, ZK- 2LbPEGG) PEG yapıları bağlanmasıyla oluşan kitosan polimerleridir.
ZK-PEG serisinin sentezi kapsamında örnek formülasyon çalışması. İzobutrilaldehit- metil kuaternizasyonu yapılmış olan kitosanın (metot 2 sonucu oluşmuş olan) distile suda çözünürlüğüne bakılmıştır. Çözüldüğü görüldükten sonra bir cam balonda 1 gram kitosan, 30 mL metanol 25°C’de N2 gazı altında 1 saat boyunca çözünmesi gerçekleşene kadar manyetik karıştırıcıda karıştırılmıştır.
Ayrı bir beherde 5 mL metanol ve 0.1 gram PEG monoakrilat karıştırılmıştır, 25°C’de N2 gazı altında damla damla cam balona eklenmiştir ve 2 gün karışmaya bırakılmıştır. Daha sonra balon içerisindeki çözücü olan metanol döner buharlaştırıcıda bir miktar uçurulmuş,
konsantre metanol içindeki ürün 400 mL soğuk asetonda çöktürülmüştür.
Filtre ve vakum fırınında kurutma sonrası beyaz madde elde edilmiştir. Her bir moleküler ağırlıklı izobutrilaldehit- metil kuaternizasyonu yapılmış olan kitosan için bu sentez uygulanmıştır.
3.4. Yapısal Karakterizasyon
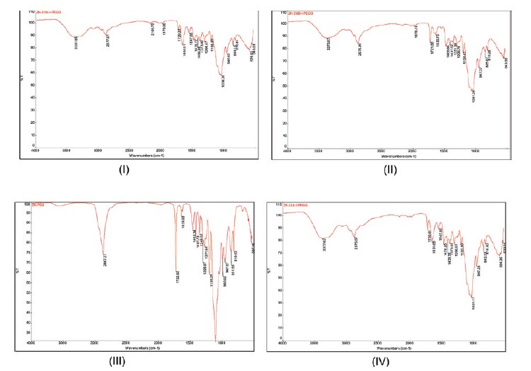
Deneyler sırasında her bir adımda FTIR ve NMR analizleri yapılmış ve bu analizlerin sonuçları doğrultusunda deneylere devam edilmiştir. Örnek olarak Şekil 3’te FTIR kuaterner kitosan yapılarına PEG eklenmesi ile yapılan modifiye kitosanların analiz sonuçları verilmektedir.
Kuaterner kitosan yapılarına PEG eklenmesi ile yapılan modifiye olan kitosan elde edildikten sonra FTIR çekilmiştir. Şekil 3 de PEG kuaternize kitosan için, C-O pikinde 1050 cm-1’deki güçlü zirve bunu doğrulamaktadır. Alifatik C-H yapısına bağlı olarak 2879’daki yoğun pik
kitosana bağlanmış olan alkil grubunun varlığına işaret etmektedir. PEG akrilat yapısının vinil grubu ve C=O pikleri için zirveler sırasıyla 841 cm-1 ve yaklaşık 1660 cm-1’ta gözlenmiştir.
Ancak Michael katılması sonucu PEG akrilat taki karakteristik piklerin yok olduğu görülmektedir. Şekil 3’te ayrıca kitosana PEG bağlandıktan sonra 1720 cm-1 bandında karakteristik ester karbonil gerilmesinin görülmüştür. Böylece reaksiyon başarılı bir şekilde gerçekleştiği anlaşılmıştır.
[caption id="attachment_158319" align="aligncenter" width="750"]

Şekil 3. Metot 3 (Kuaterner kitosan yapılarına PEG eklenmesi) sonucu elde edilen modifiye kitosanların FTIR’ı (I) yüksek moleküler ağırlıklı kitosan, (II) orta moleküler ağırlıklı kitosan, (III)PEG, (IV) düşük moleküler ağırlıklı kitosan[/caption]
Tablo 1’de modifiye kitosanların genel çözücülerdeki çözünürlükleri gösterilmiştir. Numunlerin özellikle polaritesi düşük çözücülerde çözünmediği görülmektedir. Kitosan sadece asitli suda çözünürken katyonik hale geldikten sonra dimetil formamid (DMF), dimetilsulfokist (DMSO) ve metanol gibi çözücülerde çözüldüğü görülmektedir.
[caption id="attachment_158320" align="aligncenter" width="696"]

DCM: Diklorometan; DMF: Dimetilformamid; DMSO:Dimetilsulfoksit[/caption]
Çözünürlüklere bakılıp bu verilerin sonucunda Metot 1 ile elde edilen modifiye kitosanlar solvent olarak distile su ile Metot 2 ve Metot 3 ile elde edilen modifiye kitosanlar solvent olarak metanol kaplama solüsyonu olarak seçilmiştir. Spin kaplama cihazında temiz camlar üzerine toplamda 6 cam x 9 numune = 54 cam kaplama yapılmıştır.
Cam kaplamaları mikrobiyoloji laboratuvarına bakteri testine gönderilmiştir. Cam kaplama metodu bir referans metot olarak kullanılmış ve burada elde edilen etki değeri yüksek polimer (fonksiyonel kitosan) daha sonra poliüretan köpük uygulmasında kullanılmıştır. Bakteri testleri % öldürme (106 cfu/mL) olarak bakılmıştır. Test için biri gram negatif biri de gram pozitif olan 2 bakteri olan E. coli ve S. aureus seçilmiştir. Cam kaplama üzerindeki bakteri testi sonuçları Tablo 2’de gösterilmektedir.
Fonksiyonel kitosan kaplı yüzeylerin S. aureus’a karşı etkinliğinin daha yüksek olduğu görülmüştür. Bunu sebebi her iki bakteri hücre duvarından kaynaklanan farklılıktan olduğu öngörülülmekte, E.coli hücre duvarında çift fosfolipid tabakası ve lipopolisakkarit tabakası olması sebebi ile biyosidal etkinlikte S. aureus’a göre düşüş gözlenmiştir.

Cam yüzeylerde bakteri testi sonucunda en iyi bakteri öldürme etkisine sahip olanın kitosanın izobutrilaldehitmetil kuaternizasyonu sonucu oluşan polimer olduğu görülmüştür.
Bu projede mikroorganizmaların yayılımını yavaşlatmak ve enfeksiyon hastalıklarına karşı korunmak için üç farklı moleküler ağırlığında olan kitosanlar ile püskürtme metodu kullanılarak poliüretan köpükler kaplanmıştır.
Bu kapsamda ZK-2Hb, ZK-2Mb, ZK-2Lb ve Blank (katkısız) olmak üzere her bir seriyi kaplama için toplamda 4x4=16 adet olmak üzere homojen, steril köpük küp kullanılmıştır. Her bir modifiye kitosandan 0.2 gram alınmıştır ve 6 mL distile su ile karıştırılarak %4lük çözeltiler elde edilmiştir. Her bir köpüğe 0.2 mL çözelti püskürtülmüştür. 5 dakika aralıklarla 4 kere üstüne püskürtmeler tekrarlanmıştır. Bunların sonucunda 16 köpük küp 60°C’de 1 saat etüvde kurutulduktan sonra paketlenip analiz için bakteri testine gönderilmiştir.
[caption id="attachment_158322" align="aligncenter" width="696"]

Şekil 4. Yüzeyde kitosan türevleri bulunan poliüretan köpükler[/caption]
Şekil 4’te teste gönderilen poliüretan esaslı köpükler gösterilmektedir. Köpük kaplama testi sonucunda S. aureus karşı en iyi sonuç veren yani en iyi bakteri yok eden yüksek moleküler
ağırlıklı kitosanın izobutrilaldehit- metil kuaternizasyonu sonucu oluşan polimer olduğu görülmüştür. Blank (katkısız) poliüretan köpük %0 öldürme etkisine sahiptir. Şekil 5’te test sonuçları görülmektedir.
[caption id="attachment_158323" align="aligncenter" width="696"]

Şekil 5 Bakteri Öldürme Yüzdelerine Göre Modifiye Kitosan Test Sonucu[/caption]
Sonuç
Kitin ve kitosan çok boyutlu özelliklere sahip olan amino polisakkaritlerdir ve doğal bir polimerdir. Poliüretanlar ise günlük hayatımızda sıklıkla kullandığımız malzemelerdendir.
Bu proje kapsamında doğal hammadde olan kitosandan yola çıkarak poliüretan köpük malzemelerin antibakteriyel hale getirilmesi için çalışmalar yapılmıştır.
Farklı fonksiyonel gruplara sahip olan katyonik kitosanlar poliüretan köpük malzemelerin yüzeyine spreyleme metodu ile eklenmiştir. Sonuç itibarı ile özelikle S. aureus’a karşı yüksek etkinlik elde edilmiştir.
Proje kapsamında elde edilen ürünlerin özellikle hastane ortamında kullanılan malzemelerin antibakteriyel hale getirilmesinde kullanılabileceği öngörülmektedir. Kitosanın poliüretan formülasyonuna katılması ve E. coli’ye karşı etkinliğinde artırılması üzerine çalışmalar devam etmektedir.
Teşekkür
Poliüretan köpük formülasyonu için Flokser Kimya San. ve Tic. A.Ş.’ye teşekkür ederiz. Proje çalışmamızı destekleyen TÜBİTAK’a (proje başvuru no: 1139B412101110) teşekkür
ederiz.
Kaynakça
[1] Rinaudo, M. (2008). Main properties and current applications of some polysaccharides as biomaterials. Polymer international, 57(3), 397-430.
[2] Vincent, J. F., & Wegst, U. G. (2004). Design and mechanical properties of insect cuticle. Arthropod structure & development, 33(3), 187-199.
[3] Raabe, D., Al-Sawalmih, A., Yi, S. B., & Fabritius, H. (2007). Preferred crystallographic
texture of α-chitin as a microscopic and macroscopic design principle of the exoskeleton of the lobster Homarus americanus. Acta Biomaterialia, 3(6), 882-895.
[4] Kobayashi, S., Kiyosada, T., & Shoda, S. I. (1996). Synthesis of artificial chitin: irreversible catalytic behavior of a glycosyl hydrolase through a transition state analogue substrate. Journal of the American Chemical Society, 118(51), 13113-13114
[5] Kobayashi, S., Makino, A., Tachibana, N., & Ohmae, M. (2006). Chitinase-Catalyzed Synthesis of a Chitin-Xylan Hybrid Polymer: A Novel Water-Soluble- (1→ 4) Polysaccharide Having an N-Acetylglucosamine-Xylose Repeating Unit. Macromolecular rapid communications, 27(10), 781-786.
[6] Kadokawa, J. I. (2011). Precision polysaccharide synthesis catalyzed by enzymes. Chemical reviews, 111(7), 4308-4345.
[7] Kumar, M. N. R. (2000). A review of chitin and chitosan applications. Reactive and functional polymers, 46(1), 1-27.
[8] Pandey, P., Verma, M. K., & De, N. (2018). De N. Chitosan in agricultural context–a review. Bulletin of Environment, Pharmacology and Life Sciences, 7(4), 87-96.
[9] Dutta, P. K., Ravikumar, M. N. V., & Dutta, J. (2002). Chitin and chitosan for versatile applications. Journal of Macromolecular Science, Part C: Polymer Reviews, 42(3), 307-354.
[10] Malerba, M., & Cerana, R. (2019). Recent applications of chitin-and chitosan-based polymers in plants. Polymers, 11(5), 839.
[11] Demir, A., & Seventekin, N. (2009). Kitin, kitosan ve genel kullanım alanları. Tekstil Teknolojileri Elektronik Dergisi, 3(2), 92-103.
[12] Vasconcelos, M. W. (2014). Chitosan and chitooligosaccharide utilization in phytoremediation
and biofortification programs: current knowledge and future perspectives. Frontiers in plant science, 5
[13] Malerba, M., & Cerana, R. (2016). Chitosan effects on plant systems. International journal of molecular sciences, 17(7), 996.
[14] Martins, A. F., Facchi, S. P., Follmann, H. D., Pereira, A. G., Rubira, A. F., & Muniz, E. C. (2014). Antimicrobial activity of chitosan derivatives containing N-quaternized moieties in its backbone: a review. International Journal of Molecular Sciences, 15(11), 20800-20832.
[15] Kong, M., Chen, X. G., Xing, K., & Park, H. J. (2010). Antimicrobial properties of chitosan and mode of action: a state of the art review. International journal of food microbiology, 144(1), 51-63.
[16] Lima, M., Teixeira-Santos, R., Gomes, L. C., Faria, S. I., Valcarcel, J., Vázquez, J. A., ... & Mergulhão, F. J. (2021). Development of chitosan-based surfaces to prevent single-and dual-species biofilms of Staphylococcus aureus and Pseudomonas aeruginosa. Molecules, 26(14), 4378.
[17] Demchenko, V., Rybalchenko, N., Zahorodnia, S., Naumenko, K., Riabov, S., Kobylinskyi, S., ... &
Kowalczuk, M. (2022). Preparation, characterization, and antimicrobial and antiviral properties of silver-containing nanocomposites based on polylactic acid–chitosan. ACS Applied Bio Materials, 5(6), 2576-2585.
[18] Najafabadi, S. A. A., Mohammadi, A., & Kharazi, A. Z. (2020). Polyurethane nanocomposite
impregnated with chitosan-modified graphene oxide as a potential antibacterial wound dressing. Materials Science and Engineering: C, 115, 110899
[19] Meenu, B., Raman, M., Sreelakshmi, P. U., & Mathew, P. T. (2023). Effect of mushroom chitosan coating on the quality and storability of tomato (Solanum lycopersicum L.). Journal of Postharvest Technology, 11(1), 133-144.
[20] Morales-González, M., Navas-Gómez, K., Diaz, L. E., Gómez-Tejedor, J. A., & Valero, M. F. (2023). Incorporation of Chitosan in Polyurethanes Based on Modified Castor Oil for Cardiovascular Applications. Polymers, 15(18), 3733.
[21] Chen, L., He, X., Pu, Y., Cao, J., & Jiang, W. (2023). Polysaccharide-based biosorbents for cholesterol and bile salts in gastric-intestinal passage: Advances and future trends. Comprehensive Reviews in Food Science and Food Safety.
[22] Najafabadi, S. A. A., Mohammadi, A., & Kharazi, A. Z. (2020). Polyurethane nanocomposite impregnated with chitosan-modified graphene oxide as a potential antibacterial wound dressing. Materials Science and Engineering: C, 115, 110899.
Prof. Dr. Tarık Eren
Kimya Bölümü
Yıldız Teknik Üniversitesi
Zeynep Küçükersen
Yüksek Lisans Öğrencisi
Yıldız Teknik Üniversitesi
L. Yusuf Yivlik
Ar-Ge Yöneticisi
Flokser Kimya
Prof. Dr. Melda Altıkatoğlu
Yapaöz
Kimya Bölümü
Yıldız Teknik Üniversitesi