Accelerated Corrosion Tests for Automotive Industry
Automobiles have become an important part of our daily life. We continue our lives together with different brands and models of vehicles. In addition to making people happy with different colours and designs, automobiles fulfil an extremely important task in a life that needs to be lived quickly.
We have the opportunity to save time with cars, especially in the business world or privately, who do not want to benefit from public transportation or cannot find this opportunity in urban transportation. Therefore, they are trying to find themselves in the first steps of the sector by trying to design vehicles that have less gas emission, can work with electricity or fly one step beyond. Time will tell us how realistic the idea of a flying car, which is especially exciting when we hear about it, will be.
In addition to the several of benefits they provide, automobiles harm the nature with harmful gas emissions due to the fuels burned. Although these amounts have decreased with the developments made in fuel filter systems compared to the vehicles produced in the past, they still continue to harm the nature and the atmosphere. It is a fact that we all know as a really sad information on this subject. On the other hand, the contribution of the brands or models that are popular and admired in the world to the economy of that country are too much to not describe.
For example, when we examine German automobile brands such as BMW, Mercedes, Opel, Volkswagen, Audi, Porsche etc., it would not be wrong to say that high demands and sales due to their recognition in the market make a very high contribution to the national economy of Germany. As you see above, when we look at the interior and exterior parts of a vehicle, and if we consider that a car is composed of approximately 30,000 different materials, it will be possible to understand very easily its contribution to a country’s economy. Employment created and the added value are indisputable figures.

In addition to their aesthetic beauty, automobiles are exposed to the corrosive environments (rain, humidity, sun, chemical contacts, sea environments, hot-cold environments, etc.) These coatings, (dye, varnish, lacquer, metallic coatings, inorganic coatings etc.) or pure metal or plastics in a vehicle must be resistant to these environments. After a few years, none of us would like to change the colour of the ceiling paint of our vehicle due to the effect of the sun, or to have rust under our paint in areas close to sea environments. Considering the general acceptance, we can say that the paint coating guarantee is given to cars for 10 years. In other words, all manufacturers make their plans so that the vehicle body paints on the outside of the vehicle will withstand the toughest outdoor conditions for at least 10 years, and they produce their vehicles with
coating models that will provide this. Of course, another question that may come to mind here is knowing what are the toughest outdoor conditions?
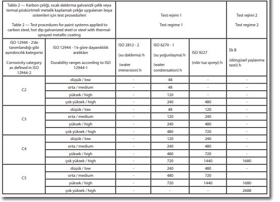
I can share the Table-1 in order to inform the manufacturers in the EN ISO 12944-2 standard regarding corrosion classifications. The tests suitable for the categories mentioned in this table are in the EN ISO 12944-6 standard.

[caption id="attachment_137273" align="aligncenter" width="684"]

Table 1: Atmospheric-corrosivity categories and examples of typical environments[/caption]
The tests required for these corrosive environments (EN ISO 12944-6 Standard) are given in Table 2 below.

As can be seen in Table-2, we see that there are two basic corrosion tests that should be done in particular, these are the salt fog test and the moisture resistance test. Indeed,
it is possible to say that these two tests, which are carried out especially to evaluate the corrosion performance of organic coatings, are the most important of the accelerated
corrosion tests. However, since automobile manufacturers are faced with corrosion performance problems that arise over time, these tests are supported by different tests and
it has been possible to make more realistic approaches, and with this opportunity, it has been possible to provide coating warranties based on 10 years by obtaining higher
corrosion resistances.
Automobile manufacturers have directed the suppliers to produce more durable and high-performance products by making the necessary improvements in their products, by revealing their wishes through negotiations and agreements with both surface preparation chemicals companies and organic/inorganic paint coating companies.
At the point reached over the years, we can clearly say that each automobile brand has its
own test standards and related requirements for the acceptance of vehicle interior and exterior coatings and materials. If any sub-industry company wants to produce parts for an automobile brand, they must pass the tests prepared by that automobile company and meet the end-of-test requirements according to the location and place of the parts produced in their coating facilities. Of course, the approval authority for this is professional laboratories that have EN ISO 17025 Accreditation certificate and certify that they can perform these tests within their scope of Accreditation. Some important automobile test
corrosion standards and their names are as follows; Ford: CETP: 00.00-L-467, BMW: AA-0224, Mercedes: DBL 7382, Volkswagen: PV1209-PV 1210, Jaguar: TPJLR.52.265, MAN:
M 3166.

The most important feature of these standards is that different corrosion environments such as; salty fog environment, humid environments, hot dry environments, rain environments etc. have met within the same test cycle. With the 24-hour test cycles planned in this way, it is possible to see what performance values organic or inorganic
coated parts will reach in real life conditions by providing accelerated difficult conditions in test cabinets. Added to this, cars with superior performance in terms of both corrosion and cosmetic appearance are offered to drivers for many years, by controlling the colour and brightness values with Xenon sunlight tests, and decomposition after chemical contacts with chemical resistance tests.
As Metaltek laboratory, we have been serving to many different brands and models in the automotive sector with Cyclic Corrosion Tests, Sunlight Resistance Tests, Chemical Resistance Tests And Mechanical Resistance Tests for 10 years. I would like to inform you with this article that an agreement has been made between Metaltek and TOGG which is our own first native vehicle and we are waiting to help them with their test requests. On the other hand, if it is thought and desired, as a result of us and other valuable stakeholders meeting around a table, I think that we can easily create our own automobile test standards for TOGG, like other foreign automobile brands.
On the occasion of this article, I would like to inform you that, as Metaltek, we are planning to invite all our stakeholders in our industry to our laboratory by doing an organization for our 15th anniversary celebration in May.
Tuncay Katırcı
General Manager
Metaltek